Class 10 Polynomials Notes with Solved Examples
Class 10 Polynomials Notes are essential for mastering algebra and understanding the structure of mathematical expressions. These notes cover key topics such as factorization, the degree of polynomials, zeros of polynomials, remainder, and factor theorems, and solving polynomial equations. Each concept is explained with solved examples and practical problems to help students apply formulas and improve accuracy. By practicing these notes, students can easily learn methods to factorize polynomials, find roots, and solve equations efficiently. Go through the NCERT textbook and solve the NCERT questions with the help of the NCERT Solutions for class 10 Math.s These notes also include tips for solving questions quickly in exams. Polynomials are the basis for quadratic equations, algebraic identities, and higher-level mathematics. Therefore, a strong grasp of polynomial concepts is vital for academic success. These notes are ideal for Class 10 students seeking structured learning material for revision and exam preparation.
What Are Polynomials and Why Do They Matter?
A polynomial is an algebraic expression of the form f(x) = a₀ + a₁x + a₂x² + ... + aₙxⁿ, where a₀, a₁, a₂, ..., aₙ are real numbers and all indices of x are non-negative integers. The highest index n (where aₙ ≠ 0) determines the degree of the polynomial. These mathematical constructs are fundamental to algebra and appear throughout higher mathematics, physics, engineering, and computer science. Understanding polynomials enables students to model real-world phenomena, solve optimization problems, and develop critical analytical thinking skills.
Classification of Polynomials by Degree
Polynomials are categorized based on their degree. A zero-degree polynomial is any non-zero constant (e.g., f(x) = 7), also called a constant polynomial. A linear polynomial has degree 1, taking the form f(x) = ax + b where a ≠ 0, and its graph is always a straight line. A quadratic polynomial has degree 2, expressed as f(x) = ax² + bx + c where a ≠ 0, and its graph forms a parabola. Cubic polynomials have degree 3 and can be written as f(x) = ax³ + bx² + cx + d where a ≠ 0. The degree directly determines the maximum number of zeros (roots) the polynomial can have and the general shape of its graph.
Zeros of Polynomials: Where Functions Cross the X-Axis
A real number α is called a zero of polynomial f(x) if f(α) = 0. Geometrically, zeros represent the points where the graph of the polynomial intersects or touches the x-axis. For a linear polynomial ax + b, the zero is -b/a. A quadratic polynomial can have zero, one, or two real zeros depending on its discriminant D = b² - 4ac. When D > 0, the parabola cuts the x-axis at two distinct points; when D = 0, it touches the x-axis at exactly one point (the vertex); when D < 0, the parabola does not intersect the x-axis and has no real zeros. A cubic polynomial always crosses the x-axis at least once and can have up to three real zeros. Understanding zeros is crucial for solving equations and analyzing function behavior.
Relationship Between Zeros and Coefficients
For a quadratic polynomial f(x) = ax² + bx + c with zeros α and β, two fundamental relationships exist: the sum of zeros equals -b/a (α + β = -b/a) and the product of zeros equals c/a (αβ = c/a). These relationships allow us to construct polynomials from given zeros or to find zeros when coefficients are known. For a cubic polynomial f(x) = ax³ + bx² + cx + d with zeros α, β, and γ, three relationships hold: the sum of zeros equals -b/a (α + β + γ = -b/a), the sum of products taken two at a time equals c/a (αβ + βγ + γα = c/a), and the product of all zeros equals -d/a (αβγ = -d/a). These formulas are derived using the factor theorem and provide powerful tools for polynomial analysis.
Graphing Polynomials: Visual Understanding
The graph of a linear polynomial y = ax + b is a straight line that crosses the x-axis at exactly one point: (-b/a, 0). The graph of a quadratic polynomial y = ax² + bx + c is a parabola. When a > 0, the parabola opens upward; when a < 0, it opens downward. The vertex (turning point) of the parabola is located at (-b/2a, -D/4a) where D = b² - 4ac is the discriminant. By completing the square, any quadratic can be rewritten in the form 4a(y + D/4a) = (2ax + b)², which clearly shows the parabolic nature. The graph of a cubic polynomial has no fixed standard shape but always crosses the x-axis at least once and can have up to two turning points (local maximum and minimum). Drawing polynomial graphs involves creating a table of x and y values, plotting these points, and drawing a smooth curve through them.
Division Algorithm for Polynomials
The division algorithm states that for polynomials p(x) and g(x) with degrees n and m respectively (where m ≤ n), there exist unique polynomials q(x) (quotient) and r(x) (remainder) such that p(x) = q(x) × g(x) + r(x), where r(x) is either zero or has degree less than g(x). This fundamental theorem enables polynomial division similar to arithmetic division. The Remainder Theorem is a special case: when polynomial p(x) is divided by (x - a), the remainder equals p(a). The Factor Theorem extends this: (x - a) is a factor of p(x) if and only if p(a) = 0. These theorems provide efficient methods for finding zeros, factoring polynomials, and solving polynomial equations without performing complete long division.
Essential Polynomial Formulas Reference
| Formula Name | Mathematical Expression | Explanation |
| Quadratic Polynomial | f(x) = ax² + bx + c (a ≠ 0) | Standard form of degree-2 polynomial |
| Cubic Polynomial | f(x) = ax³ + bx² + cx + d (a ≠ 0) | Standard form of degree-3 polynomial |
| Discriminant | D = b² - 4ac | Determines number of real zeros for quadratic |
| Quadratic Vertex | (-b/2a, -D/4a) | Turning point coordinates of parabola |
| Sum of Quadratic Zeros | α + β = -b/a | Relationship for quadratic coefficients |
| Product of Quadratic Zeros | αβ = c/a | Relationship for quadratic coefficients |
| Sum of Cubic Zeros | α + β + γ = -b/a | Relationship for cubic coefficients |
| Sum of Products (Cubic) | αβ + βγ + γα = c/a | Pairwise product relationship for cubic |
| Product of Cubic Zeros | αβγ = -d/a | Relationship for cubic coefficients |
| Quadratic from Zeros | f(x) = k[x² - (α+β)x + αβ] | Construct polynomial from known zeros |
| Division Algorithm | p(x) = q(x)·g(x) + r(x) | Polynomial division relationship |
| Remainder Theorem | p(a) = remainder | When p(x) divided by (x-a) |
| Zero of Linear Polynomial | x = -b/a | For f(x) = ax + b |
Practical Applications and Problem-Solving Strategies
When working with polynomials, several systematic approaches prove valuable. To find zeros of a quadratic, use factoring when possible, apply the quadratic formula x = [-b ± √(b²-4ac)]/(2a), or complete the square. For cubics and higher-degree polynomials, use the Factor Theorem to test potential rational zeros (factors of the constant term divided by factors of the leading coefficient), then apply polynomial division to reduce the degree. When constructing a polynomial from given zeros, multiply the factors (x - α)(x - β)... and expand, or use the sum and product relationships directly. For graphing, always identify the degree (determines basic shape), find zeros and y-intercept, calculate the vertex for quadratics, create a value table, and draw a smooth curve. The discriminant provides quick information about graph behavior without complete plotting.
Common Challenges and How to Overcome Them
Students often struggle with determining when to use which formula. Remember: the discriminant immediately tells you about zeros before solving; zero-coefficient relationships provide quick checks of your solutions; and the factor theorem offers shortcuts for testing potential zeros. When dividing polynomials, organize your work carefully and verify results using the division algorithm equation. For graphing, don't rely on just two or three points—plot sufficient points on both sides of turning points to capture the polynomial's behavior accurately. Understanding that parabolas are symmetric about their axis and that cubic functions have rotational symmetry about inflection points helps sketch more accurate graphs. Always verify your zeros by substituting back into the original polynomial.
This comprehensive understanding of polynomials forms the foundation for advanced mathematics including calculus, differential equations, and abstract algebra. Mastery requires practice with diverse problem types and careful attention to the relationships between algebraic properties and geometric representations.
Find Class 10 Polynomials Notes, Solved Examples & Questions
Polynomials
An algebraic expression f(x) of the form f(x) = a0 + a1x + a2x2 + ...... + anxn where a0, a1, a2, ..., an are real numbers and all the index of x are non-negative integers is called polynomials in x and the highest index n in x is called the degree of the polynomial, if an ≠ 0.
Degree of a Polynomials
(a) Zero Degree Polynomial:
Any non-zero number is regarded as a polynomial of degree zero or zero degree polynomial. For example, f(x) = a, where a ≠ 0 is a zero degree polynomial, since we can write f(x) = a as f(x) = a x0.
(b) Constant Polynomial:
A polynomial of degree zero is called a constant polynomial, e.g. f(x) = 7.
(c) Linear Polynomial:
A polynomial of degree 1 is called a linear polynomial.
e.g. p(x) = 4x - 3 and f(t) = √5t + 5 are linear polynomials.
(d) Quadratic Polynomial:
A polynomial of degree 2 is called a quadratic polynomial.
e.g. f(x) = 2x2 + 5x - 3/5 and g(y) = 3y2 - 5 are quadratic polynomials with real coefficients.
Value of a Polynomial
If f(x) is a polynomial and α is any real number, then the real number obtained by replacing x by α in f(x) is called the value of f(x) at x = α and is denoted by f(α).
e.g. Value of p(x) = 5x2 - 3x + 7 at x = 1 will be:
p(1) = 5(1)2 - 3(1) + 7
= 5 - 3 + 7 = 9
Zeros of a polynomial
A real number α is a zero of polynomial f(x) if f(α) = 0.
The zero of a linear polynomial ax + b is -b/a, i.e. Constant term / Coefficient of x.
Geometrically zero of a polynomial is the point where the graph of the function cuts or touches x-axis.
When the graph of the polynomial does not meet the x-axis at all, the polynomial has no real zero.
Graph of Polynomials - Notes
Graph of Polynomials:
In algebraic or in set theoretic language the graph of a polynomial f(x) is the collection (or set) of all points (x, y), where y = f(x). In geometrical or in graphical language the graph of a polynomial f(x) is a smooth free hand curve passing through points (x1, y1), (x2, y2), (x3, y3), ... etc. where y1, y2, y3, ... are the values of the polynomial f(x) at x1, x2, x3, ... respectively. In order to draw the graph of a polynomial f(x), follow the following algorithm.
Algorithm:
- Step I: Find the values y1, y2, ... yn of polynomial f(x) on different points x1, x2, ... xn and prepare a table that gives values of y or f(x) for various values of x.
| x: | x1 | x2 | ... | xn | xn+1 | ... |
|---|---|---|---|---|---|---|
| y = f(x) | y1 = f(x1) | y2 = f(x2) | ... | yn = f(xn) | yn+1 = f(xn+1) | ... |
- Step II: Plot that points (x1, y1), (x2, y2), (x3, y3), ... (xn, yn) on rectangular co-ordinate system. In plotting these points use different scales on the X and Y axes.
- Step III: Draw a free-hand smooth curve passing through points plotted in step 2 to get the graph of the polynomial f(x).
(a) Graph of a Linear Polynomial:
Consider a linear polynomial f(x) = ax + b, a ≠ 0. Graph of y = ax + b is a straight line. That is why f(x) = ax + b is called a linear polynomial. Since two points determine a straight line, so only two points need to be plotted to draw the line y = ax + b.
The line represented by y = ax + b crosses the X-axis at exactly one point, namely (-b/a, 0).
- Draw the graph of the polynomial f(x) = 2x - 5. Also, find the coordinates of the point where it crosses X-axis.
Sol. Let y = 2x - 5.
The following table lists the values of y corresponding to different values of x.
| x | 1 | 4 |
|---|---|---|
| y | -3 | 3 |

The points A (1, -3) and B (4, 3) are plotted on the graph paper on a suitable scale. A line is drawn passing through these points to obtain the graphs of the given polynomial.
(b) Graph of a Quadratic Polynomial:
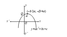
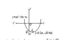
Let a, b, c be real numbers and a ≠ 0. Then f(x) = ax2 + bx + c is known as a quadratic polynomial in x. The graph of the quadratic polynomial (i.e. the curve whose equation is y = ax2 + bx + c, a ≠ 0) is always a parabola.
Let y = ax2 + bx + c, where a ≠ 0
⇒ 4ay = 4a x2 + 4abx + 4ac
⇒ 4ay = 4a x2 + 4abx + b2 + 4ac - b2
⇒ 4ay = (2a x + b)2 - (b2 - 4ac)
⇒ 4a y + (b2 - 4ac) = (2a x + b)2
⇒ 4a [ y + (b2 - 4ac)/4a ] = 4a2 [ x + b/(2a) ]2
⇒ y + (b2 - 4ac)/4a = a [ x + b/(2a) ]2
⇒ y + (D/4a) = a (x + b/2a)2 ... (i)

where D = b2 - 4ac is the discriminant of the quadratic equation.
Remarks: Shifting the origin at (-b/2a, -D/4a), we have X = x - (-b/2a) and Y = y - (-D/4a).
Substituting these values in (i), we obtain
Y = aX2 ...(ii) which is the standard equation of a parabola. Clearly, this is the equation of a parabola having its vertex at (-b/2a, -D/4a). The parabola opens upwards or downwards according as a > 0 or a < 0.
SIGNS OF COEFFICIENTS OF A QUADRATIC POLYNOMIAL:
The graphs of y = ax2 + bx + c are given in figure. Identify the signs of a, b and c in each of the following:
- (i) We observe that y = -ax2 + bx + c represents a parabola opening downwards. Therefore, a < 0. We observe that the turning point (-b/2a, -D/4a) of the parabola is in the first quadrant, where D = b2 - 4ac.

-
∴ -b/2a > 0 ⇒ -b > 0 ⇒ b > 0 in case a < 0
-
Parabola y = ax2 + bx + c cuts y-axis at Q. On y-axis, x = 0.
Putting x = 0 in y = ax2 + bx + c, we get y = c. So, coordinates of Q are (0, c).
As Q lies on the positive direction of y-axis, c > 0.
Hence, a < 0, b > 0, c > 0.
- (ii) We find that y = ax2 + bx + c represents a parabola opening upwards. Therefore, a > 0. The turning point of the parabola is in fourth quadrant.

-b/2a > 0 ⇒ -b > 0 ⇒ b > 0. [a > 0]
Parabola y = ax² + bx + c cuts y-axis at Q, x = 0.
Thus, for x = 0 in y = ax² + bx + c, y = c.
Q = (0, c), Q is on negative y-axis, so c < 0.
Hence, a > 0, b > 0, c < 0.
- (iii) Upward Parabola, a > 0, b < 0, c > 0
-b/2a > 0 ⇒ b < 0. [a > 0]
Parabola y = ax² + bx + c has Q on positive y-axis, so c > 0.
Hence, a > 0, b < 0, c > 0.

- (iv) Downward Parabola, a < 0, b < 0, c > 0
Turning point (-b/2a, -D/4a) on negative x-axis.

Hence, a < 0, b < 0, c > 0.
- (v) Upward Parabola, a > 0, b < 0, c > 0, vertex in first quadrant
Turning point (-b/2a, -D/4a) in first quadrant.
-b/2a < 0 ⇒ b < 0. [a > 0]
As Q (0, c) is on positive y-axis, c > 0.
Hence, a > 0, b < 0, c > 0.
- (vi) Downward Parabola, a < 0, b > 0, c < 0
Turning point (-b/2a, -D/4a) in fourth quadrant.
-b/2a > 0 ⇒ b > 0. [a < 0]
Q (0, c) is on negative y-axis, so c < 0.
Hence, a < 0, b > 0, c < 0.
HOW TO DRAW GRAPH OF QUADRATIC POLYNOMIALS
- Write the given quadratic polynomial f(x) = ax2 + bx + c as
y = ax2 + bx + c - Calculate the zeros of the polynomial, if exist, by putting y = 0 i.e., ax2 + bx + c = 0
- Calculate the points where the curve meets y-axis by putting x = 0.
- Calculate D = b2 - 4ac
D > 0, graph cuts x-axis at two points.
D = 0, graph touches x-axis at one point.
D < 0, graph is far away from x-axis. - Find - b / (2a) which is the turning point of curve.
- Make a table of selecting values of x and corresponding values of y, two to three values on left and two to three values on right of turning point
- Draw a smooth curve through these points by free hand. The graph so obtained is called a parabola.
- Draw the graph of the polynomial f(x) = x2 - 2x - 8
Sol. Let y = x2 - 2x - 8.
The following table gives the values of y or f(x) for various values of x.
| x | -4 | -3 | -2 | -1 | 0 | 1 | 2 | 3 | 4 | 5 | 6 |
|---|---|---|---|---|---|---|---|---|---|---|---|
| y = x2 - 2x - 8 | 16 | 7 | 0 | -5 | -8 | -9 | -8 | -5 | 0 | 7 | 16 |
Let us plot the points (-4, 16), (-3, 7), (-2, 0), (-1, -5), (0, -8), (1, -9), (2, -8), (3, -5), (4, 0), (5, 7) and (6, 16) on a graph paper and draw a smooth free hand curve passing through these points. The curve thus obtained represents the graphs of the polynomial f(x) = x2 - 2x - 8. This is called a parabola. The lowest point P, called a minimum point, is the vertex of the parabola. Vertical line passing through P is called the axis of the parabola. Parabola is symmetric about the axis. So, it is also called the line of symmetry.

Observations:
- The coefficient of x2 in f(x) = x2 - 2x - 8 is 1 (a positive real number) and so the parabola opens upwards.
- D = b2 - 4ac = 4 + 32 = 36 > 0; so, the parabola cuts X axis at two distinct points.
- On comparing the polynomial x2 - 2x - 8 with ax2 + bx + c, we get a = 1, b = -2 and c = -8. The vertex of the parabola has coordinates (1, -9) i.e. ( -b / 2a, ( -D / 4a) ), where D = b2 - 4ac.
- The polynomial f(x) = x2 - 2x - 8 = (x - 4)(x + 2) is factorizable into two distinct linear factors (x - 4) and (x + 2). So, the parabola cuts X-axis at two distinct points (4, 0) and (-2, 0). The X-coordinates of these points are zeros of f(x).
GRAPH OF A CUBIC POLYNOMIAL
Graphs of a cubic polynomial does not have a fixed standard shape. Cubic polynomial graphs will always cross X-axis at least once and at most thrice.
- Draw the graphs of the polynomial f(x) = x3 - 4x
Sol. Let y = f(x) or y = x3 - 4x
The values of y for variable value of x are listed in the following table:
| x | -3 | -2 | -1 | 0 | 1 | 2 | 3 |
|---|---|---|---|---|---|---|---|
| y = x3 - 4x | -15 | 0 | 3 | 0 | -3 | 0 | 15 |
Thus, the curve y = x3 - 4x passes through the points (-3, -15), (-2, 0), (-1, 3), (0, 0), (1, -3), (2, 0), (3, 15), (4, 48) etc. Plotting these points on a graph paper and drawing a free hand smooth curve through these points, we obtain the graph of the given polynomial as shown figure.

Observations
- The polynomial f(x) = x³ - 4x = x(x² - 4) = x(x - 2)(x + 2) is factorizable into three distinct linear factors. The curve y = f(x) = x³ - 4x also cuts the X-axis at three distinct points.
- We have, f(x) = x(x - 2)(x + 2). Therefore, 0, 2 and -2 are three zeros of f(x). The curve y = f(x) cuts X-axis at three points (0, 0), (2, 0), and (-2, 0).
RELATIONSHIP BETWEEN ZEROS AND COEFFICIENTS OF A QUADRATIC POLYNOMIAL
Let α and β be the zeros of a quadratic polynomial f(x) = ax² + bx + c. By factor theorem, (x – α) and (x – β) are the factors of f(x).
f(x) = k(x – α)(x – β)
ax² + bx + c = k[x² – (α + β)x + αβ]
Comparing the coefficients of x², x, and constant terms on both sides, we get:
a = k
b = –k(α + β)
c = kαβ
α + β = –b/a
αβ = c/a
- Sum of the zeros = –b/a = Coefficient of x / Coefficient of x²
- Product of the zeros = c/a = Constant term / Coefficient of x²
Remarks
If α and β are the zeros of a quadratic polynomial f(x), the polynomial f(x) is given by:
f(x) = k[x² – (Sum of the zeros)x + Product of the zeros]
Example
- Find a quadratic polynomial whose zeros are 5 + √2 and 5 – √2.
Sol. Given α = 5 + √2, β = 5 – √2
f(x) = k[x² – (α + β)x + αβ]
α + β = 10, αβ = (5 + √2)(5 – √2) = 25 – 2 = 23
So, f(x) = k[x² – 10x + 23], where k is any non-zero real number.
RELATIONSHIP BETWEEN ZEROS AND COEFFICIENTS OF A CUBIC POLYNOMIAL
Let α, β, γ be the zeros of a cubic polynomial f(x) = ax³ + bx² + cx + d, a ≠ 0. By factor theorem, (x – α), (x – β) and (x – γ) are factors of f(x). Also, f(x) (being cubic) cannot have more than three linear factors.
f(x) = k(x – α)(x – β)(x – γ)
ax³ + bx² + cx + d = k[x³ – (α + β + γ)x² + (αβ + βγ + γα)x – αβγ]
Comparing coefficients on both sides, we get:
a = k
b = –k(α + β + γ)
c = k(αβ + βγ + γα)
d = –k(αβγ)
α + β + γ = –b/a
αβ + βγ + γα = c/a
αβγ = –d/a
- Sum of the zeros = –b/a = Coefficient of x² / Coefficient of x³
- Sum of products of zeros two at a time = c/a = Coefficient of x / Coefficient of x³
- Product of the zeros = –d/a = Constant term / Coefficient of x³
Remarks
Cubic polynomial having zeros α, β and γ is given by:
f(x) = k(x – α)(x – β)(x – γ)
or f(x) = k[x³ – (α + β + γ)x² + (αβ + βγ + γα)x – αβγ], where k is any non-zero real number.
Example
- Form a cubic polynomial with zeros α = 3, β = 2, γ = –1.
Sol. α = 3, β = 2, γ = –1
Required polynomial = k[(x – 3)(x – 2)(x + 1)]
= k[x³ – 5x² + 5x + 6]
Division Algorithm and Theorems for Polynomials
Let p(x) and g(x) be polynomials of degree n and m respectively such that m ≤ n. Then there exist unique polynomials q(x) and r(x) where r(x) is either zero polynomial or degree of r(x) < degree of g(x) such that p(x) = g(x) · q(x) + r(x).
p(x) is dividend, g(x) is divisor.
q(x) is quotient, r(x) is remainder.
FACTOR THEOREM
Let p(x) be a polynomial of degree greater than or equal to 1 and ‘a’ be a real number such that p(a) = 0. Then (x - a) is a factor of p(x). Conversely, if (x - a) is a factor of p(x), then p(a) = 0.
- Show that x + 1 and 2x - 3 are factors of 2x³ - 9x² + x + 12.
Sol. To prove that (x + 1) and (2x - 3) are factors of p(x) = 2x³ - 9x² + x + 12 it is sufficient to show that p(-1) and p(3/2) both are equal to zero.
p(-1) = 2(-1)³ – 9(-1)² + (-1) + 12 = -2 – 9 + (-1) + 12 = -2 – 9 -1 +12 = -12 +12 = 0
And
p(3/2) = 2(3/2)³ – 9(3/2)² + (3/2) + 12
= 2·27/8 – 9·9/4 + 3/2 + 12
= 27/4 – 81/4 + 3/2 + 12
= 27 – 81 + 6 + 48/4
= -81 + 81/4 = 0
REMAINDER THEOREM
Let p(x) be any polynomial of degree greater than or equal to one and ‘a’ be any real number. If p(x) is divided by (x – a), then the remainder is equal to p(a).
Let q(x) be the quotient and r(x) be the remainder when p(x) is divided by (x – a), then:
Dividend = Divisor × Quotient + Remainder
- Find the remainder when f(x) = x³ – 6x² + 2x – 4 is divided by g(x) = 1 – 2x.
Sol. 1 – 2x = 0 ⇒ 2x = 1 ⇒ x = 1/2.
f(1/2) = (1/2)³ – 6 × (1/2)² + 2 × (1/2) – 4
= 1/8 – 6/4 + 1 – 4
= 1/8 – 3/2 + 1 – 4
= 1/8 – 12/8 + 8/8 – 32/8
= (1 – 12 + 8 – 32)/8
= –35/8 - Apply division algorithm to find the quotient q(x) and remainder r(x) on dividing f(x) = 10x⁴ + 17x³ - 62x² + 30x - 3 by g(x) = 2x² + x + 1.
Sol. 5x² + 11x + 28
2x² - x + 1 ) 10x⁴ + 17x³ – 62x² + 30x – 3
(Steps of polynomial division moving through all columns as in the original image)
So, quotient q(x) = 5x² + 11x + 28 and remainder r(x) = –9x + 25.
Now, dividend = Divisor × Quotient + Remainder
= (5x² + 11x + 28)(2x² + x + 1) + (–9x + 25)
= 10x⁴ + 17x³ – 62x² + 30x – 3
Hence, the division algorithm is verified.
Questions:
- Find a quadratic polynomial whose zeros are 2 and –3.
- Find the polynomial p(x) whose graph is given below:
- Draw the graph of the polynomial f(x) = x² + 2x – 3.
- Find a quadratic polynomial whose zeros are reciprocals of the zeros of the polynomial f(x) = ax² + bx + c, a ≠ 0, c ≠ 0.
- Sum of product of zeros of quadratic polynomial are 5 and 17 respectively. Find the polynomial.
- Show that x = 2 is a root of 2x² + x² – 7x – 6.
Answers:
- 1. k
- 2. g(x) = k(x² – 5x + P) = k[x² + (b/c)x + a/c]
- 5. k(x² – 5x + 17)
1. Find a quadratic polynomial whose zeros are 2 and –3.
Sol.
Required polynomial is:
k(x – 2)[x – (–3)]
= k(x – 2)(x + 3)
= k(x² + x – 6)
where k is a non-zero constant.
2. Find the polynomial p(x) whose graph is given below:
(X-intercepts: –1, 0 and 4, 0; vertex at 0, 3)

Sol. As the parabola intersects x-axis at 4 and -1,
Required polynomial is:
k[(x + 1)(x - 4)]
= k(x2 - 4x + x - 4)
= k(x2 - 3x - 4)
3. Draw the graph of the polynomial f(x) = x2 + 2x - 3.
Sol.
Let y = x2 + 2x - 3 is the given polynomial.
Since the coefficient of x2 is positive, it will open upward.
a = 1, b = 2, c = -3
D = b2 - 4ac = (2)2 - 4×1×-3 = 4 + 12 = 16
As D > 0, so parabola cuts x-axis at two points.
If y = 0:
x2 + 2x - 3 = 0
x2 + 3x - x - 3 = 0
x(x + 3) - 1(x + 3) = 0
(x - 1)(x + 3) = 0
x = 1 or x = -3
It shows the graph of f(x) will intersect x-axis at (1, 0) and (-3, 0).
Vertex = \( \left( -\frac{b}{2a}, -\frac{D}{4a} \right) = \left( -\frac{2}{2}, -\frac{16}{4} \right) = (-1, -4) \)
Required table:
| x | -4 | -3 | -2 | -1 | 0 | 2 |
|---|---|---|---|---|---|---|
| x2 | 16 | 9 | 4 | 1 | 0 | 4 |
| +2x | -8 | -6 | -4 | -2 | 0 | 4 |
| y = x2 + 2x - 3 | 5 | 0 | -3 | -4 | -3 | 5 |
4. Find a quadratic polynomial whose zeros are reciprocals of the zeros of given f(x) = ax2 + bx + c, a ≠ 0, c ≠ 0.
Sol.
Let α, β be the zeros of f(x).
α + β = -b/a and αβ = c/a
New zeros = 1/α, 1/β
Let S and P be the sum and product:
S = 1/α + 1/β = (α + β) / (αβ) = (-b/a) / (c/a) = -b/c
P = (1/α)·(1/β) = 1/(αβ) = a/c

Required polynomial:
g(x) = k[x2 + Sx + P] = k\left[ x2 + \frac{b}{c}x + \frac{a}{c} \right]
where k is any non-zero constant.
5. Sum and product of zeros of quadratic polynomial are 5 and 17 respectively. Find the polynomial.
Sol.
Given: Sum of zeros = 5
Product = 17
Required polynomial:
f(x) = k\left[ x^2 - 5x + 17 \right], \text{ where k is any non-zero real number.}
6. Show that x = 2 is a root of 2x2 + x2 – 7x – 6.
Sol.
f(x) = 2x2 + x2 – 7x – 6
f(2) = 2(2)2 + (2)2 – 7·2 – 6
= 2·4 + 4 – 14 – 6
= 8 + 4 – 14 – 6
= 12 – 20 = –8
Since this does not equal zero, please verify the original expression.
Questions:
- Find α and β if x + 1 and x + 2 are factors of p(x) = x3 + 3x2 - 2αx + β.
- What must be added to 3x3 + x2 - 22x + 9 so that the result is exactly divisible by 3x2 + 7x - 6.
- Find the value for K for which x4 + 10x3 + 25x2 + 15x + K exactly divisible by x + 7.
- Find the Quadratic polynomial whose sum and product of zeros are \(\sqrt{2} + 1\), \(1/\sqrt{2} + 1\).
- If (n-k) is a factor of the polynomials x2 + px + q & x2 + mx + n, prove that k = n + (n-q)/(m-p).
Answers:
7. α = –1, β = 0
8. 2x + 3, 9, 91
7. Find α and β if x + 1 and x + 2 are factors of p(x) = x3 + 3x2 - 2αx + β.
Sol.
x + 1 and x + 2 are factors.
Then, p(-1) = 0 and p(-2) = 0
p(-1) = (-1)3 + 3(-1)2 - 2α(-1) + β = –1 + 3 – 2α(-1) + β = 0
⇒ –1 + 3 + 2α + β = 0 ⇒ 2α + β = –2 ... (i)
p(-2) = (–2)3 + 3(–2)2 – 2α(–2) + β = –8 + 12 + 4α + β = 0
⇒ 4α + β = –4 ... (ii)
Subtract (i) from (ii):
(4α + β) – (2α + β) = –4 – (–2)
2α = –4 + 2 = –2
⇒ α = –1
Now, from (i), 2α + β = –2, so 2(–1) + β = –2
β = 0
Hence α = –1, β = 0
8. What must be added to 3x3 + x2 – 22x + 9 so that the result is exactly divisible by 3x2 + 7x – 6
Sol.
Let p(x) = 3x3 + x2 – 22x + 9 and q(x) = 3x2 + 7x – 6.
We know if p(x) is divided by q(x), remainder should be 0.
Suppose we add 2x + 3: p(x) + 2x + 3 = 3x3 + x2 – 22x + 9 + 2x + 3 = 3x3 + x2 – 20x + 12
Now, using division:
3x3 + x2 – 20x + 12 ÷ 3x2 + 7x – 6
–> (Detailed calculation, long division steps; see original for full working)
The remainder is zero when
a = –2, b = –3
Therefore 2x + 3 must be added.
9. Find the value for K for which x4 + 10x3 + 25x2 + 15x + K exactly divisible by x + 7
Sol.
Let P(x) = x4 + 10x3 + 25x2 + 15x + K, g(x) = x + 7.
Divide P(x) by g(x).
As the remainder must be zero,
Substitute x = –7 in P(x) and set P(–7) = 0.
P(–7) = (–7)4 + 10(–7)3 + 25(–7)2 + 15(–7) + K = 2401 – 3430 + 1225 – 105 + K = 91 + K
91 + K = 0 ⇒ K = –91
10. Find the Quadratic polynomial whose sum and product of zeros are √2 + 1, 1/(√2 + 1)
Sol.
sum = √2 + 1
product = 1 / (√2 + 1)
Required polynomial is:
x2 – (sum)x + product
= x2 – (√2 + 1)x + 1/(√2 + 1)
11. If (n – k) is a factor of the polynomials x2 + px + q and x2 + mx + n, prove that k = n + (n – q)/(m – p)
Sol. Given (n – k) is a factor of both:
So (n – k)2 + p(n – k) + q = 0
And (n – k)2 + m(n – k) + n = 0
Subtract second from first:
[p – m](n – k) + q – n = 0
n – k = (n – q)/(m – p)
k = n + (n – q)/(m – p)
Frequently Asked Questions
A polynomial is a specific type of algebraic expression with particular restrictions that make it mathematically well-behaved and predictable. The key defining characteristics are that all exponents must be non-negative integers (0, 1, 2, 3, etc.) and all coefficients must be real numbers. For example, f(x) = 3x² + 5x - 7 is a polynomial, but expressions like g(x) = 2x⁻¹ + 3 (negative exponent), h(x) = √x + 4 (fractional exponent since √x = x^(1/2)), or k(x) = 5/x (equivalent to 5x⁻¹) are not polynomials.
The non-negative integer requirement ensures polynomials are continuous and smooth everywhere, with no breaks, jumps, or asymptotes. This makes them ideal for modeling physical phenomena and performing calculus operations. Additionally, polynomials never involve variables in denominators, under radical signs (unless the radical simplifies to an integer power), or in exponents themselves. Variables must always appear in the base position with whole number powers.
Understanding this distinction is crucial because polynomials have special properties: they're always defined for all real numbers, they're infinitely differentiable, and they follow predictable patterns regarding zeros and behavior at infinity. The Fundamental Theorem of Algebra guarantees that every polynomial of degree n has exactly n complex zeros (counting multiplicities), which isn't true for general algebraic expressions. When working with polynomials, you can confidently apply techniques like the division algorithm, factor theorem, and zero-coefficient relationships—tools that don't necessarily work for non-polynomial expressions. This structured nature makes polynomials foundational in mathematics education and essential for advanced topics in analysis, numerical methods, and applied mathematics.
Determining the number of zeros involves understanding both the degree of the polynomial and the discriminant for quadratics. The degree provides the maximum possible number of zeros: a linear polynomial (degree 1) has exactly one real zero, a quadratic (degree 2) has at most two real zeros, a cubic (degree 3) has at most three real zeros, and so forth. However, the actual number of real zeros can be less than the degree because some zeros might be complex (non-real) or repeated.
For quadratic polynomials specifically, the discriminant D = b² - 4ac provides precise information without solving. When D > 0, the quadratic has two distinct real zeros and its graph crosses the x-axis at two points. When D = 0, there's exactly one real zero (technically a repeated zero with multiplicity 2), and the parabola touches the x-axis at its vertex. When D < 0, there are no real zeros—the parabola doesn't intersect the x-axis at all, though two complex conjugate zeros exist in the complex number system.
For cubic and higher-degree polynomials, graphical analysis becomes helpful. A cubic polynomial always has at least one real zero because its graph extends from negative infinity to positive infinity (or vice versa) and must cross the x-axis. Descartes' Rule of Signs provides additional insight: the number of positive real zeros equals the number of sign changes in f(x) coefficients (or is less by an even number), while the number of negative real zeros equals sign changes in f(-x). Additionally, examining the graph's behavior helps: count how many times it crosses or touches the x-axis. Touching indicates a repeated zero (even multiplicity), while crossing indicates odd multiplicity.
For practical problem-solving, creating a quick rough sketch by evaluating the polynomial at several strategic points (like -3, -2, -1, 0, 1, 2, 3) helps visualize where sign changes occur, indicating zeros between those points. This approach, combined with the Intermediate Value Theorem, confirms zero locations without explicit calculation. Advanced students can also use Sturm's theorem for exact counts, though this exceeds typical secondary school curricula.
The sign of the leading coefficient 'a' in a quadratic polynomial f(x) = ax² + bx + c fundamentally controls the parabola's orientation because it determines the behavior of the function as x approaches infinity. To understand this deeply, consider what happens to the x² term for large positive and negative values of x. The squared term x² is always positive (or zero) regardless of whether x is positive or negative: (5)² = 25 and (-5)² = 25.
When a > 0 (positive), the term ax² remains positive for all x values (except x = 0). As x becomes very large in either direction, the ax² term dominates the linear bx term and constant c, making f(x) approach positive infinity. This means both "ends" of the parabola extend upward, creating a U-shaped curve that opens upward. The vertex represents the minimum point of the function—the lowest value the parabola reaches.
Conversely, when a < 0 (negative), the term ax² is always negative (since you're multiplying a positive x² by a negative coefficient). As |x| increases, f(x) approaches negative infinity on both sides. Both ends of the parabola extend downward, creating an inverted U-shape (∩) that opens downward. Here, the vertex represents the maximum point—the highest value the function achieves.
Mathematically, this behavior is confirmed by examining the second derivative: f''(x) = 2a. When a > 0, the second derivative is positive, indicating the function is concave up (holds water). When a < 0, the second derivative is negative, indicating the function is concave down (spills water). This concavity directly determines the opening direction. In practical applications, this distinction is crucial: upward-opening parabolas model situations with minimum values (like minimizing cost or finding the lowest point of a projectile's path), while downward-opening parabolas model situations with maximum values (like maximizing profit or finding the peak height of a thrown ball). The magnitude of |a| also affects the parabola's width: larger |a| values create narrower parabolas, while smaller |a| values create wider ones.
The vertex of a parabola represents the most extreme point of a quadratic function either the absolute minimum (when the parabola opens upward) or absolute maximum (when it opens downward). Located at coordinates (-b/2a, f(-b/2a)) or equivalently (-b/2a, -D/4a) where D is the discriminant, the vertex provides crucial information for both mathematical analysis and real-world applications. Understanding the vertex allows you to immediately identify the optimal value of a quadratic function without testing multiple points.
In practical applications, the vertex answers critical optimization questions. For instance, in business, if a profit function is modeled by a downward-opening parabola P(x) = -2x² + 80x - 600 where x represents units produced, the vertex tells you exactly how many units maximize profit and what that maximum profit is. In physics, when modeling projectile motion with h(t) = -4.9t² + v₀t + h₀, the vertex reveals the maximum height reached and the time at which this occurs—essential for engineering calculations involving trajectories, whether for sports, military applications, or space exploration.
The x-coordinate of the vertex, x = -b/2a, represents the axis of symmetry the vertical line about which the parabola is perfectly symmetrical. This symmetry property has practical implications: if you know one zero of the quadratic, you can immediately find the other by reflecting across this axis. Additionally, the vertex form of a quadratic, f(x) = a(x - h)² + k where (h, k) is the vertex, makes graphing straightforward and clearly displays the transformations applied to the basic parabola y = x².
In structural engineering, parabolic arches and cables (like suspension bridge cables) follow this shape because it optimally distributes forces. The vertex represents the highest or lowest point of these structures, critical for design specifications. In optics, parabolic mirrors and satellite dishes focus light or signals at their focal point, which is directly related to the vertex position. In economics, understanding where revenue or cost functions reach extremes (vertices) informs pricing strategies and production levels. Even in agriculture, irrigation patterns and water fountain arcs follow parabolic paths, where the vertex determines coverage area. The vertex isn't just an abstract mathematical concept—it's the solution to countless "what's the best" or "what's the worst" questions across disciplines.
Constructing a polynomial from known zeros utilizes the Factor Theorem, which states that if α is a zero of polynomial f(x), then (x - α) is a factor. Therefore, if you know all zeros, you can write the polynomial as the product of linear factors corresponding to each zero. For a quadratic with zeros α and β, the polynomial is f(x) = k(x - α)(x - β), where k is any non-zero constant (often chosen as 1 for simplicity). Expanding this gives f(x) = k[x² - (α + β)x + αβ], which directly uses the sum and product of zeros.
For example, if zeros are 3 and -5, then f(x) = k(x - 3)(x - (-5)) = k(x - 3)(x + 5) = k(x² + 2x - 15). If the problem specifies the polynomial must be monic (leading coefficient of 1), set k = 1. If additional information like f(0) = 30 is given, substitute: 30 = k(-15), so k = -2, giving f(x) = -2x² - 4x + 30.
For cubic polynomials with zeros α, β, and γ, the construction follows the same principle: f(x) = k(x - α)(x - β)(x - γ). Alternatively, you can use the relationships between zeros and coefficients. If you're asked to construct a cubic with sum of zeros = 5, sum of products taken two at a time = 3, and product of zeros = -7, you know that for f(x) = x³ + bx² + cx + d (assuming leading coefficient 1), we have: -b = 5 (so b = -5), c = 3, and -d = -7 (so d = 7). Therefore, f(x) = x³ - 5x² + 3x + 7.
When some zeros are irrational or complex, handle them carefully. If one zero is 2 + √3, and the polynomial has real coefficients, then 2 - √3 must also be a zero (irrational conjugates appear in pairs). Similarly, complex zeros like 3 + 4i require their conjugate 3 - 4i. The factors become (x - (2 + √3))(x - (2 - √3)) = (x - 2)² - 3 = x² - 4x + 1, which keeps all coefficients real.
An important consideration is that the constructed polynomial isn't unique—the constant multiplier k can be any non-zero value. This reflects the fact that infinitely many polynomials share the same zeros; they differ only by vertical stretching or compression (and reflection if k is negative). When problems ask for "the" polynomial with given zeros, they typically mean the monic polynomial (k = 1) unless additional constraints are specified. This construction method is essential for reverse-engineering polynomials from graph intercepts, solving systems of equations, and understanding how zeros completely determine polynomial behavior up to scalar multiplication.
The Remainder Theorem and Factor Theorem are closely related concepts, with the Factor Theorem being a special case of the more general Remainder Theorem. Understanding their relationship and distinct applications is essential for efficient polynomial manipulation and problem-solving.
The Remainder Theorem states: When a polynomial p(x) is divided by a linear divisor (x - a), the remainder is exactly p(a). This powerful result eliminates the need for long division when you only want the remainder. For example, to find the remainder when p(x) = 2x³ - 5x² + 3x - 7 is divided by (x - 2), simply calculate p(2) = 2(8) - 5(4) + 3(2) - 7 = 16 - 20 + 6 - 7 = -5. The remainder is -5, regardless of what the quotient is. This theorem works because the division algorithm guarantees p(x) = (x - a)·q(x) + r, where r is a constant (since the divisor is degree 1, the remainder must be degree 0 or zero). Substituting x = a gives p(a) = 0·q(a) + r = r.
The Factor Theorem is the special case when the remainder equals zero: (x - a) is a factor of p(x) if and only if p(a) = 0. This bidirectional relationship means you can both verify factors and find zeros. If you're testing whether (x + 3) is a factor of p(x) = x³ + x² - 5x + 3, evaluate p(-3) = (-3)³ + (-3)² - 5(-3) + 3 = -27 + 9 + 15 + 3 = 0. Since p(-3) = 0, (x + 3) is indeed a factor. Conversely, if you know (x - 4) is a factor of some polynomial, you immediately know that 4 is a zero of that polynomial.
The practical distinction lies in application strategy. Use the Remainder Theorem when: (1) you need to find remainders quickly without division; (2) you're checking whether a value satisfies a polynomial equation; (3) you're evaluating polynomials at specific points. Use the Factor Theorem when: (1) you're searching for zeros by testing candidates; (2) you're factoring polynomials and need to verify potential factors; (3) you're constructing polynomials from known zeros; (4) you're solving polynomial equations by reducing degree through factorization.
In problem-solving, these theorems work synergistically. When factoring a polynomial like p(x) = 2x³ - 3x² - 11x + 6, you might test potential rational zeros (factors of 6 divided by factors of 2): ±1, ±2, ±3, ±6, ±½, ±3/2. Testing p(2) = 2(8) - 3(4) - 11(2) + 6 = 16 - 12 - 22 + 6 = -12 ≠ 0, so (x - 2) is not a factor. Testing p(3) = 2(27) - 3(9) - 11(3) + 6 = 54 - 27 - 33 + 6 = 0, so (x - 3) is a factor. You can then use polynomial division to find p(x) = (x - 3)(2x² + 3x - 2) and factor further. This systematic approach, enabled by these theorems, is far more efficient than blind factorization attempts.
The appearance of complex zeros in conjugate pairs for polynomials with real coefficients is a profound result stemming from the properties of complex arithmetic and the requirement that polynomial coefficients remain real. A complex conjugate pair consists of two complex numbers of the form a + bi and a - bi, where a and b are real numbers and i is the imaginary unit (i² = -1). Understanding why this pairing is mandatory requires examining what happens during polynomial multiplication.
Consider constructing a quadratic from a complex zero, say 2 + 3i. If this were the only zero and we formed f(x) = (x - (2 + 3i)), we'd get f(x) = x - 2 - 3i. Notice that the coefficient -3i is not real—it's purely imaginary. When expanding further with any other factor, these imaginary components would persist in the final coefficients unless specifically canceled. The only way to eliminate imaginary parts from coefficients is to multiply by the conjugate factor.
When we include both zeros 2 + 3i and 2 - 3i, the polynomial becomes f(x) = [x - (2 + 3i)][x - (2 - 3i)]. Expanding this carefully: f(x) = [(x - 2) - 3i][(x - 2) + 3i]. This fits the difference-of-squares pattern (a - b)(a + b) = a² - b², where a = (x - 2) and b = 3i. Therefore, f(x) = (x - 2)² - (3i)² = (x - 2)² - 9i² = (x - 2)² - 9(-1) = (x - 2)² + 9 = x² - 4x + 4 + 9 = x² - 4x + 13. Notice all coefficients (1, -4, 13) are real.
Mathematically, this occurs because complex conjugates have the special property that their sum and product are both real. If α = a + bi and β = a - bi, then α + β = (a + bi) + (a - bi) = 2a (real) and αβ = (a + bi)(a - bi) = a² - (bi)² = a² - b²i² = a² + b² (real). Since polynomial coefficients are symmetric functions of zeros (sums, products, and combinations thereof), complex conjugates ensure these symmetric functions yield real values.
This principle extends to higher-degree polynomials: a cubic with real coefficients might have one real zero and one conjugate pair of complex zeros; a quartic might have two real zeros and one conjugate pair, or two conjugate pairs, or four real zeros. The total count always equals the degree, but complex zeros contribute in pairs. This is why a cubic polynomial always has at least one real zero if all three zeros were complex, you'd need pairs, but three isn't an even number, forcing at least one to be real.
Understanding conjugate pairs is essential for: (1) constructing polynomials with specified complex zeros while maintaining real coefficients; (2) using the quadratic formula, where complex solutions emerge as (−b ± √(b² − 4ac))/(2a) when the discriminant is negative—automatically giving conjugates; (3) factoring over the reals versus factoring over the complex numbers; (4) applications in engineering and physics where complex numbers represent oscillations, with conjugate pairs ensuring observable quantities remain real. This deep connection between complex analysis and polynomial algebra illustrates the elegant consistency of mathematical structures.
The Division Algorithm for polynomials is a direct generalization of the long division process you learned for integers, maintaining the same fundamental structure while extending it to algebraic expressions. In arithmetic, when dividing 37 by 5, you find quotient 7 and remainder 2, expressed as 37 = 5 × 7 + 2. Critically, the remainder (2) is smaller than the divisor (5). This relationship dividend equals divisor times quotient plus remainder, with the remainder smaller than the divisor—transfers completely to polynomials.
For polynomials, the Division Algorithm states: Given polynomials p(x) (dividend) and g(x) (divisor) where g(x) ≠ 0, there exist unique polynomials q(x) (quotient) and r(x) (remainder) such that p(x) = g(x)·q(x) + r(x), where either r(x) = 0 or the degree of r(x) is strictly less than the degree of g(x). The "smaller than" condition from arithmetic becomes "lower degree than" in the polynomial context. Just as remainder 2 < divisor 5 numerically, remainder degree < divisor degree algebraically.
The long division process itself mirrors arithmetic division. When dividing p(x) = 2x³ - 5x² + 3x - 7 by g(x) = x - 2, you: (1) Divide the leading term of the dividend by the leading term of the divisor: 2x³ ÷ x = 2x². (2) Multiply this result by the entire divisor: 2x²(x - 2) = 2x³ - 4x². (3) Subtract from the dividend: (2x³ - 5x² + 3x - 7) - (2x³ - 4x²) = -x² + 3x - 7. (4) Repeat with the new dividend -x² + 3x - 7. This continues until the remainder's degree is less than the divisor's degree.
One crucial difference: in arithmetic, we stop when the remainder is numerically smaller than the divisor (both are numbers). In polynomial division, both dividend and divisor are functions, so "smaller" means "lower degree." This is why dividing 2x³ + 5 by x² + 1 gives quotient 2x and remainder -2x + 5 even though -2x + 5 might have larger numerical values at some x-points, its degree (1) is less than x² + 1's degree (2), so division terminates.
The practical value of this algorithm extends beyond mechanical computation. It enables: (1) verifying factors (zero remainder confirms factorization); (2) simplifying rational expressions; (3) partial fraction decomposition in calculus; (4) polynomial interpolation and approximation; (5) solving system of polynomial equations. In computer science, polynomial division algorithms are fundamental to error-correcting codes, cryptography (particularly in finite fields), and computer algebra systems. The algorithm's existence and uniqueness guarantee make it a cornerstone theorem in abstract algebra, generalizing to other algebraic structures like rings and fields. Understanding this connection between arithmetic and polynomial division reveals how mathematical structures share common patterns across different domains, demonstrating the unity of mathematical thought.
Factoring higher-degree polynomials requires systematic strategies rather than random trial and error. For cubics and quartics, combining the Rational Root Theorem, Factor Theorem, and polynomial division creates an efficient workflow that significantly improves success rates.
The Rational Root Theorem provides the starting point: if a polynomial p(x) = aₙxⁿ + ... + a₁x + a₀ has rational zeros, they must have the form ±(factor of a₀)/(factor of aₙ). For p(x) = 2x³ - 3x² - 11x + 6, potential rational zeros are ±(1, 2, 3, 6)/(1, 2) = ±1, ±2, ±3, ±6, ±½, ±3/2. This finite list eliminates infinite possibilities.
Next, test these candidates systematically using the Factor Theorem. Rather than testing randomly, use strategic ordering: test ±1 first (simplest), then small integers, then fractions. Calculate p(1) = 2 - 3 - 11 + 6 = -6 ≠ 0, so (x - 1) isn't a factor. Calculate p(-1) = -2 - 3 + 11 + 6 = 12 ≠ 0. Calculate p(2) = 16 - 12 - 22 + 6 = -12 ≠ 0. Calculate p(3) = 54 - 27 - 33 + 6 = 0 ✓. Success: (x - 3) is a factor.
Now apply polynomial division or synthetic division (faster for linear divisors). Dividing p(x) by (x - 3) yields 2x² + 3x - 2. The problem reduces to factoring a quadratic, which is more manageable. Factor 2x² + 3x - 2 = (2x - 1)(x + 2). Therefore, p(x) = (x - 3)(2x - 1)(x + 2), revealing zeros at x = 3, ½, -2.
For quartics (degree 4), the strategy extends: find one zero, divide to get a cubic, find another zero from the cubic, divide again to get a quadratic, then solve the quadratic. Sometimes grouping techniques help: for x⁴ - 5x² + 4, treat it as a quadratic in x²: (x²)² - 5(x²) + 4 = 0. Let u = x², giving u² - 5u + 4 = (u - 4)(u - 1) = 0, so u = 4 or u = 1. Back-substitute: x² = 4 or x² = 1, yielding x = ±2 or x = ±1.
Some polynomials benefit from factoring by grouping. For x³ + 2x² - 5x - 6, try grouping: x²(x + 2) - 3(x + 2) won't work cleanly, so return to testing zeros. Finding p(-1) = -1 + 2 + 5 - 6 = 0 shows (x + 1) is a factor. After division, you get x² + x - 6 = (x + 3)(x - 2).
Advanced recognition helps: sum/difference of cubes (a³ ± b³ = (a ± b)(a² ∓ ab + b²)), perfect cubes, and special patterns. For x³ - 8 = (x - 2)(x² + 2x + 4). Recognizing x⁴ - 1 = (x² + 1)(x² - 1) = (x² + 1)(x + 1)(x - 1) saves significant time.
When factoring over the reals versus complex numbers, remember that irreducible quadratics over the reals (like x² + 1) factor over complex numbers (x + i)(x - i). Problem context determines how far to factor. Computer algebra systems use sophisticated algorithms (Berlekamp's, Cantor-Zassenhaus) for factoring, but understanding these manual strategies builds intuition for polynomial behavior and prepares you for situations where computational tools aren't available. The key to mastery is systematic practice with diverse polynomial types, gradually building pattern recognition and computational fluency.
Polynomials appear extensively across science, engineering, economics, and technology, often invisibly underlying models and computations that shape daily life. Understanding their properties empowers you to analyze, predict, and optimize real-world systems rather than treating them as black boxes.
In physics and engineering, projectile motion follows parabolic paths described by h(t) = -½gt² + v₀t + h₀, where h is height, g is gravitational acceleration, v₀ is initial velocity, and h₀ is initial height. Finding the vertex gives maximum height and time to reach it—essential for designing everything from basketball shots to artillery trajectories to water fountains. Structural engineers use polynomial curves for arch designs, bridge cables, and roof structures because parabolic shapes optimally distribute weight and stress, creating stable configurations that maximize strength-to-material ratios.
In economics and business, revenue, cost, and profit functions commonly follow polynomial models, particularly quadratics. If revenue R(x) = -2x² + 100x and cost C(x) = 20x + 500, then profit P(x) = R(x) - C(x) = -2x² + 80x - 500. The vertex reveals optimal production quantity for maximum profit. Market analysts use polynomial regression to model price trends, consumer behavior, and economic growth patterns, with higher-degree polynomials capturing more complex fluctuations.
Computer graphics and animation fundamentally rely on polynomial curves, particularly Bézier curves and splines (piecewise polynomials). Every smooth curve in digital design software, every character animation in movies, and every font glyph on your screen uses polynomial mathematics. Game physics engines calculate trajectories, collision detection, and motion paths using polynomial equations, enabling realistic simulations.
In data science and machine learning, polynomial regression extends linear models to capture non-linear relationships. Rather than fitting y = mx + b to data, polynomial regression fits y = a₀ + a₁x + a₂x² + ... + aₙxⁿ, better modeling curved relationships between variables. This technique applies to predicting housing prices based on multiple factors, modeling disease spread, forecasting sales trends, and analyzing scientific experimental data. Understanding polynomial degree trade-offs (higher degree captures more detail but risks overfitting) is crucial for valid statistical inference.
Signal processing and electrical engineering use polynomials in filter design, where transfer functions (describing how circuits modify signals) are ratios of polynomials. Zeros and poles of these functions determine frequency response characteristics—which frequencies pass through and which get blocked. Audio equalizers, radio receivers, and digital image processing all depend on this polynomial mathematics.
Medicine leverages polynomial growth models for tumor growth, drug concentration decay, and population epidemiology. Pharmacokinetics—how drugs absorb, distribute, metabolize, and excrete—often follows polynomial or related curves, helping determine optimal dosing schedules.
Even in everyday contexts, understanding parabolas explains why satellite dishes are parabolic (focusing signals at the receiver), why car headlight reflectors are parabolic (directing light forward), and why suspension bridge cables hang in parabolic curves (optimal load distribution). When you adjust a garden sprinkler's arc or throw a ball, you're intuitively working with polynomial physics.
The broader lesson: polynomials provide a mathematical language for describing change, curvature, optimization, and relationships between quantities. Mastering them equips you with analytical tools applicable far beyond academic exercises, enabling quantitative reasoning about complex systems. In a data-driven world, this mathematical literacy distinguishes those who can merely use tools from those who understand, critique, and improve them. Whether you pursue STEM careers, business, healthcare, or social sciences, polynomial thinking—recognizing patterns, modeling relationships, finding optima—remains fundamentally valuable.