Alkanes
Alkanes are the simplest organic compounds. They are also known as paraffins. The general formula of alkanes is CnH2n+2. Each carbon atom of alkane is sp3 hybridized and its shape is tetrahedral. The bond lengths between C-H and C-C bonds are 1.12 Å and 1.54 Å respectively. The simplest member of alkane series is methane (CH4).
Methods of Preparation
1. By catalytic hydrogenation of unsaturated hydrocarbons:
Hydrogenation takes place in the presence of finely divided nickel as catalyst at 200°C. This reaction is known as Sabatier and Sanderson's reaction.
Hydrogenation is possible at room temperature when platinum or palladium is used as a catalyst in place of Ni.
Methane cannot be obtained by this method as no unsaturated hydrocarbon contains a single carbon atom.
2. By the reduction of alkyl halides:
Alkyl halide can be reduced with Zn + CH3COOH, Zn + HCl, Zn + NaOH, Zn-Cu couple in C2H5OH, aluminium amalgam in C2H5OH or LiAlH4.
R - X + 2H ——→ R - H + HX
Alkyl halides can also be conveniently reduced by heating with HI and red phosphorous in a sealed tube.
R - I + HI ——P/150°, pressure——→ RH + I2
The function of red phosphorous is to remove iodine.
3. By the reduction of alcohols, aldehydes, ketones and fatty acids:
The above compounds and their derivatives can be reduced with hot hydroiodic acid and red phosphorous at 150°C in a sealed tube to give alkanes.
ROH + 2HI ——Red/P——→ RH + H2O + I2
RCHO + 4HI ——Red/P——→ RCH3 + 2I2 + H2O
R-COR + 4HI ——Red/P——→ R-CH2-R + H2O + 2I2
R-COOH + 6HI ——Red/P——→ RCH3 + 2H2O + 3I2
Aldehydes and ketones can also be reduced to alkanes by amalgamated zinc and conc. HCl. The reaction is known as Clemmensen reduction.
R - CHO + 2H2——Zn-Hg/HCL——→ R - CH3 + H2O
Aldehydes can be reduced to alkanes with hydrazine and KOH at 150-200°C. This reaction is known as Wolff-Kishner reduction.
CH3CHO + NH2NH2——→ CH3CH=NNH2——KOH——→ CH3CH3 + N2
4. By condensing two molecules of alkyl halides:
Two molecules of alkyl halides when treated with sodium metal in the presence of dry ether coupled to form alkane.
This reaction is known as Wurtz synthesis.
R – Br + 2Na + R – Br ——Dry ether——> R – R + 2NaBr
5. By decarboxylation of carboxylic acid:
The sodium salt of carboxylic acid is strongly heated with soda lime to give alkane by elimination of CO₂ as carbonate.
R – COONa + NaOH ——Heat/CaO——> RH + Na₂CO₃
6. Kolbe's electrolysis:
Sodium or potassium salts of fatty acids are electrolyzed to give higher alkanes at anode.
2CH₃COONa + 2H₂O ————————> CH₃ – CH₃ + 2CO₂ + 2NaOH + H₂
Methane can't be prepared by this method.
7. By action of water on aluminium carbide or beryllium carbide:
Al₄C₃ + 12H₂O ————> 4Al(OH)₃ + 3CH₄↑
Aluminium carbide
Be₂C + 4H₂O ————> 2Be(OH)₂ + CH₄↑
Beryllium carbide
Physical Properties
- State: Due to weak forces, the alkanes upto four carbon atoms are colourless, odourless gases, the next thirteen members are colourless, odourless liquids. Alkanes from C18 onwards are colourless and odourless solids.
In alkenes, except ethene, all are odourless and follow some trend as alkanes. Ethene has a pleasant odour. All are colourless. Alkynes also follow the same trend as alkanes.
- Density: The density of alkanes increases very slowly with the rise of molecular mass until it becomes constant at 0.8.
- Solubility: They are generally insoluble in polar solvents such as water but insoluble in non-polar solvents like ether, CCl4, benzene etc.
- Boiling and melting points: The boiling point of straight chain alkanes increase regularly with increasing number of carbon atoms. The melting points of alkanes do not follow a very smooth gradation with the increase of molecular size. Alkenes and alkynes also show a gradual increase in boiling and melting points with the increase of molecular mass in homologous series. They are less volatile than alkanes, i.e., their boiling point and melting point are higher than corresponding alkanes.
Chemical Properties
Alkanes are extremely stable and inert substance due to presence of non-polar C – C and C – H bonds. Alkanes are saturated compounds with strong sigma bonds which doesn’t break under ordinary conditions. Alkanes react at high temperature by free radical mechanism.
- Halogenation (free radical substitution):
Alkanes react with halogens (Cl2, Br2) in presence of light or in dark at high temperature to form corresponding substituted products.

The relative reactivity of halogens and alkanes follows this order,
F2 > Cl2 > Br2 > I2 and 3° > 2° > 1° > CH3
- Nitration: Nitration is possible for alkanes having three or more carbon atoms. Nitration of propane yields mixture of nitro products.

3. Sulphonation:
Higher alkanes (hexane onwards) undergo sulphonation when treated with fuming H2SO4.
n - C6H14 + HOSO3H/Hexane ——→ C6H13SO3H + H2O/Hexane sulphonic acid
4. Oxidation or combustion:
Alkanes burn in presence of O2 to form CO2 and H2O with evolution of heat.
CH4 + 2O2——→ CO2 + 2H2O
2C2H6 + 7O2——→ 4CO2 + 6H2O
ALKENES
Alkenes are characterized by the presence of a double bond between two carbon atoms. Alkenes have the general formula CnH2n.
Methods of Preparation
- By dehydration of alcohols:
Dehydration of alcohols in presence of acids forms alkene. This is elimination reaction.

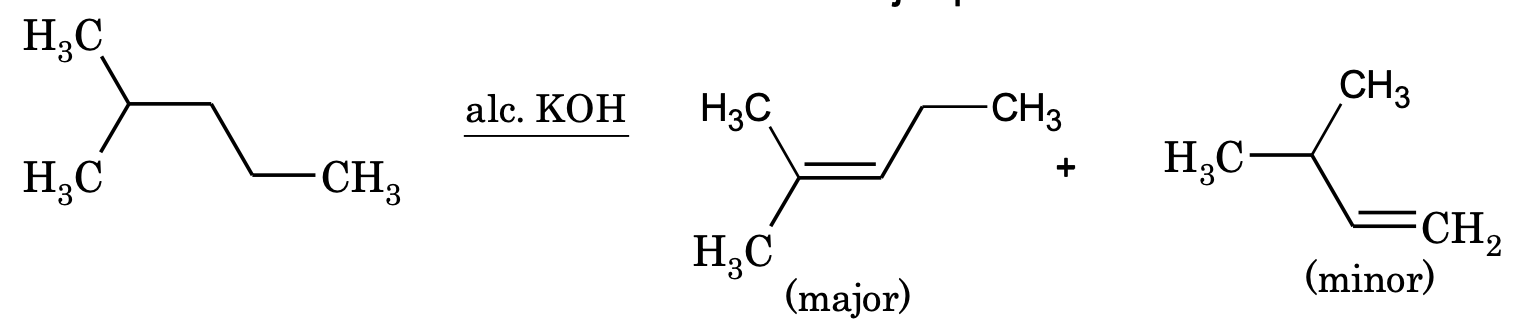
2. By the dehydrohalogenation of alkyl halides:
CH3CH2CH2Br alc. KOH → CH3CH=CH2 + HBr
If dehydrogenation of alkyl halide gives two products, the major product will be according to Saytzeff’s rule, i.e. the alkene which is most substituted is the major product.

The ease of dehydrohalogenation follows the order,
Tertiary alkyl halide > secondary alkyl halide > primary alkyl halide.
Among the different halides, the order is alkyl iodide > alkyl bromide > alkyl chloride.
3. By the dehalogenation of vicinal dihalides:
Dehydrohalogenation of vicinal dihalides in presence of Zn dust in alcoholic solution yields pure alkene.

4. Kolbe’s electrolysis method:
The electrolysis of sodium or potassium salts of dicarboxylic acid gives alkene at anode.

However, if Na/ liq NH3 is used, trans alkene is formed, and in presence of Ni cis alkene is formed.
Chemical Properties
Alkenes are reactive due to the presence of double bonds. Due to presence of π bonds alkenes give electrophilic addition reaction. Alkenes also give free radical addition reaction.
1. Addition reactions:
(i) Addition of hydrogen (catalytic hydrogenation)
CH2 = CH2 + H2 Ni
200–300℃ → CH3–CH3
(ii) Addition of halogens (Cl2 or Br2)
CH2 = CH2 + Br2 → BrCH2–CH2Br
Ethylene dibromide (colourless)
Addition of bromine is used as a test for detecting the presence of a carbon–carbon double bond or triple bond.
(iii) Addition of hydrogen halides
CH2 = CH2 + HX → CH3CH2X
The order of reactivity among hydrogen halides is
HI > HBr > HCl > HF
In case of unsymmetrical alkenes addition occurs according to Markonikov’s rule. This reaction takes place through an ionic mechanism. Electrophilic addition to a carbon–carbon double bond involves the formation of an intermediate, i.e. more stable carbocation.
Deviation from Markonikov’s rule:
It has been observed that addition of HBr to unsymmetrical alkenes like propene in presence of air, peroxide or light yields n-propyl bromide by anti-Markonikov’s rule. The effect is called peroxide effect or Kharasch effect.

(iv) Addition of hypochlorous acid
CH2=CH2 /Ethylene + HOCl/Hypochlorous acid → CH2OH—CH2Cl/ethylene chlorohydrin
(v) Addition of sulphuric acid
Alkyl hydrogen sulphates are water soluble, when heated at about 160ºC, they give olefins. On reaction with water they give alcohol.
CH3—CH2—OH+H2SO4 ←H2O, boil→ CH3—CH2—OSO3H 160ºC → CH2=CH2 + H2SO4
(vi) Addition of water
CH3—CH=CH2 + H2O —H+→ CH3—CH(OH)—CH3
(vii) Addition of alkanes (alkylation)

(viii) Addition of diborane (hydroboration)

In case of unsymmetrical alkenes, addition follows the Anti Markonikov’s rule.

Trialkyl borane on oxidation (H2O2/OH-) gives alcohol and on reduction (LiAlH4) gives alkane.
(ix) Oxymercuration – demurcuration

(x) Addition of oxygen

Oxidation:
(i) Oxidation by cold alkaline KMnO4 (Bayer’s reagent)

It is a test for detecting double bonds in alkene. Hydroxylation by KMnO4 is always syn addition. The cis alkene on hydroxylation gives meso compound and trans alkene gives racemic mixture. Like Bayer’s reagent OsO4 also gives glycol and the hydroxylation is syn addition.

(ii) Oxidation by per acids (RCO3H)

This addition occurs in trans manner. The cis alkene gives racemic mixture and trans alkenes give meso compound.
(iii) Ozonolysis

(iv) Oxidation by hot concentrated alkaline KMnO4
RCH = CH2 + KMnO4 → RCOOH + CO2 + H2O
Substitution reaction:

However, allylic bromination (bromination at allylic carbon atom) is very easily achieved by treating the alkene having hydrogen atom at the allylic carbon atom with N-bromosuccinimde (NBS).

ALKYNES
Alkynes are characterized by the presence of a triple bond between two carbon atoms. The general formula of alkyne is CnH2n-2.
Methods of Preparation
1. By the dehydrohalogenation of vicinal dihalides:

2. By dehalogenation of vicinal tetrahalides:
Reaction with active metals like Zn, Mg etc. gives acetylene.

3. By Kolbe electrolysis method:

4. By heating iodoform or chloroform with silver powder or zinc:
This method can be used for the preparation of only acetylene.
CHI3 + 6Ag + CHI3 → CH≡CH + 6AgI
5. From acetylene:
Higher alkynes can be prepared from acetylene when treated with sodium metal in liquid ammonia.
CH≡CH + Na liq. NH3 → CH≡C-Na + ½ H2
CH≡CNa + CH3Br → CH≡C–CH3 + NaBr
Sodium acetylide propyne
Similarly, CH≡CH 2Na
liQ. NH3 → NaC≡CNa 2CH3Br → CH3C≡CCH3
Chemical Properties
Alkyne gives electrophilic addition reaction due to the presence of loosely held p electrons, but electrophilic addition reactions in alkyne are slower than that of alkenes.
Terminal hydrogen present in alkynes is acidic in nature. Since, s electrons are closer to nucleus than p electrons, the electrons present in bond having more s character will be more closer to the nucleus. The amount of s character in various types of C – H bond are as follows
| Type of C–H bond | Hybrid orbital | Percentage of s character |
|---|---|---|
| ≡ C–H | sp | 50.0 |
| = C–H | sp² | 33.3 |
| - C–H | sp³ | 25.0 |
Relative acidities: HOH ≈ HOR > CH≡CR > :NH₃ > CH₂=CH₂ > CH₃–CH₃
Relative basicities: OH⁻ ≈ OR⁻ < C≡C⁻R < NH₂⁻ < CH⁻=CH₂ < CH₂⁻–CH₃
1. Addition of hydrogen:
CH≡CH + H2 Ni/acetylene → CH2=CH2 / ethylene —H2→ CH3–CH3 / ethane
In case of alkynes where triple bond is not present at the end of the chain, on reduction gives cis or trans alkene, which depends upon the choice of reducing agent. With sodium in liquid ammonia the alkene is trans form and on catalytic reduction the alkene is cis form.

Electrophilic addition:
(i) Addition of halogens

The order of reactivity of halogens is Cl2 > Br2 > I2
(ii) Addition of halogen acid
The order of reactivity of halogen acids is HI > HBr > HCl.

In presence of peroxide, anti Markonikov’s product is obtained.

(iii) Addition of hypohalous acids

Nucleophilic addition reaction:
In these reactions, the addition is initiated by a nucleophile and are generally catalysed by salt of heavy metals (e.g. Hg2+, Pb2+, Ba2+) which are found to form p compound with multiple bonds.

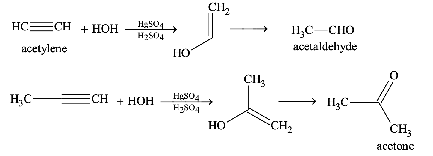
(i) Addition of water

(iv) Addition of alcohol

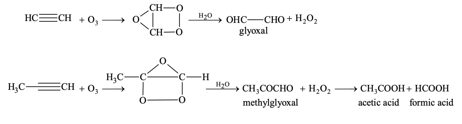
(v) Addition of ozone and ozonolysis

Oxidation:
(i) Oxidation with alkaline KMnO4

(ii) Oxidation with acidic K2Cr2O7 or KMnO4

5. Formation of metallic derivatives:
The group –CºC–H in alkynes is slightly acidic in nature and hence its hydrogen atom can be easily replaced by certain metals to give metallic derivatives called acetylides or alkynides.

(i) Formation of sodium acetylides

(ii) Formation of copper and silver acetylides

These reactions are used for detecting the presence of acetylinic hydrogen atom.
Frequently Asked Questions
Hydrocarbons can be identified by their elemental composition and chemical behavior:
- Elemental Analysis: Hydrocarbons contain only carbon and hydrogen atoms. Chemical tests like combustion analysis determine the presence of C and H by measuring CO₂ and H₂O produced.
- Spectroscopic Methods: Techniques such as Infrared (IR) spectroscopy and Nuclear Magnetic Resonance (NMR) spectroscopy help identify characteristic bonds (C-H stretching, C=C double bonds).
- Chemical Reactivity Tests: Unsaturated hydrocarbons (alkenes and alkynes) decolorize bromine water or react with potassium permanganate, which saturated hydrocarbons do not.
- Physical Properties: Hydrocarbons are generally non-polar, hydrophobic, and have specific boiling points based on molecular size.
The most common hydrocarbons include:
- Methane (CH₄): The simplest alkane and main component of natural gas.
- Ethane (C₂H₆): A two-carbon alkane found in natural gas.
- Propane (C₃H₈): Used as LPG fuel.
- Butane (C₄H₁₀): Another LPG component.
- Benzene (C₆H₆): The simplest aromatic hydrocarbon, widely used industrially.
These hydrocarbons are significant in energy and chemical industries.
Yes, diesel fuel is a complex mixture of hydrocarbons, primarily composed of alkanes and aromatic hydrocarbons with carbon chain lengths typically between C10 and C20. Diesel is derived from the fractional distillation of crude oil and contains mostly saturated and aromatic hydrocarbons.
Its chemical composition gives diesel a higher energy density and boiling point than gasoline, making it suitable for compression ignition engines. Diesel’s hydrocarbon mixture enables efficient combustion, power output, and relatively lower volatility, affecting engine performance and emissions.
Hydrocarbons serve multiple essential functions across industries, science, and daily life:
- Energy Source: The primary function of hydrocarbons is to act as fuels. Gasoline, diesel, natural gas, and jet fuel are all hydrocarbon-based, providing energy for transportation, heating, and electricity generation.
- Chemical Feedstock: Hydrocarbons are raw materials in the chemical industry to manufacture plastics, synthetic fibers, solvents, detergents, and pharmaceuticals.
- Lubricants and Materials: Many hydrocarbons serve as lubricants and form materials like synthetic rubber and waxes.
- Biological Roles: Certain hydrocarbons occur naturally in living organisms (like cuticular waxes on plants) and contribute to biological functions.
Thus, hydrocarbons are fundamental to modern civilization’s energy, materials, and chemical needs.
Hydrocarbon gases such as methane, propane, and butane are not inherently toxic but can be hazardous in certain conditions:
- Asphyxiation Risk: Hydrocarbon gases are often colorless and odorless (methane especially), so leaks in enclosed spaces can displace oxygen, leading to suffocation.
- Flammability: These gases are highly flammable and can form explosive mixtures with air, posing fire and explosion risks.
- Chemical Toxicity: Generally, simple hydrocarbon gases are chemically inert and non-toxic at low concentrations. However, some heavier hydrocarbon gases or additives might have mild toxicity or cause irritation.
Rubber, especially natural rubber, is primarily a hydrocarbon polymer composed of long chains of isoprene units (C₅H₈). Isoprene is a hydrocarbon monomer, and when polymerized, it forms polyisoprene, which constitutes natural rubber.
Natural rubber is thus considered a hydrocarbon polymer because it consists mainly of carbon and hydrogen atoms. However, commercial or synthetic rubbers may contain other elements (like sulfur in vulcanized rubber) due to chemical treatments and additives that improve properties like strength and elasticity.
A hydrocarbon is any organic compound consisting exclusively of carbon and hydrogen atoms. These compounds serve as the simplest class of organic molecules, with carbon atoms forming chains or rings bonded to hydrogen atoms. The term “hydrocarbon” is used because of this elemental composition—“hydro” for hydrogen and “carbon” for carbon.
Hydrocarbons are typically classified based on the bonding between carbon atoms (single, double, or triple) and their structural arrangement (straight chain, branched, or cyclic). The three primary types are alkanes (single bonds), alkenes (double bonds), and alkynes (triple bonds), with aromatic hydrocarbons (rings with delocalized electrons) as a special class.
In everyday language and scientific literature, hydrocarbons refer to natural fuels like petroleum, natural gas, and coal derivatives. Their importance spans energy production, manufacturing plastics, pharmaceuticals, and chemical industries.
Hydrocarbons and General Organic Chemistry (GOC), excluding detailed IUPAC nomenclature, are foundational for Class 12 Chemistry. Their importance stems from several factors:
- Core Concepts: Hydrocarbons form the basis for understanding organic reactions and mechanisms studied in Class 12. GOC covers basics like functional groups, isomerism, reaction types, and preparation methods.
- Exam Weightage: Questions on hydrocarbons and general organic chemistry often constitute a significant portion of organic chemistry exams in Class 12 boards and competitive exams. Understanding reaction types (substitution, addition, elimination), physical properties, and isomerism is critical for scoring well.
- Foundation for Advanced Topics: Mastery of hydrocarbons and GOC prepares students for more advanced organic chemistry topics like stereochemistry, biomolecules, and polymer chemistry encountered in higher studies.
- Practical Relevance: Hydrocarbons and GOC principles apply directly in industries such as pharmaceuticals, petrochemicals, and materials science. Knowledge in this area builds a practical understanding of chemistry’s role in real-world applications.
The terms hydrocarbon and hydrocarbon compounds are often used interchangeably but can imply subtle differences depending on context.
- Hydrocarbons specifically refer to organic molecules made up only of carbon and hydrogen atoms. These include alkanes, alkenes, alkynes, and aromatic hydrocarbons. They are the simplest class of organic compounds, forming the basis for more complex chemistry.
- Hydrocarbon compounds is a broader phrase that generally refers to all compounds derived from hydrocarbons or containing hydrocarbons as part of their structure. This includes hydrocarbons themselves as well as derivatives where other elements (like oxygen, nitrogen, halogens) are attached to the hydrocarbon backbone. For example, alcohols (like ethanol), halogenated hydrocarbons (like chloromethane), and hydrocarbons with functional groups are technically hydrocarbon compounds but not pure hydrocarbons.
Yes, natural gas is primarily composed of hydrocarbons, mainly methane (CH₄), which is the simplest hydrocarbon. Along with methane, natural gas often contains small amounts of other hydrocarbons such as ethane, propane, and butane.
Natural gas is a vital energy source due to its clean-burning properties and high calorific value. It is widely used for heating, electricity generation, and as a feedstock for producing chemicals and fertilizers. Since natural gas consists of hydrocarbon molecules, it exhibits similar chemical behaviors such as combustion, making it a crucial fossil fuel.
No, carbon dioxide (CO₂) is not a hydrocarbon. Hydrocarbons are compounds consisting only of carbon and hydrogen atoms, whereas CO₂ contains carbon and oxygen atoms.
Carbon dioxide is a simple molecule formed when carbon combusts in excess oxygen during complete combustion of hydrocarbons. It is a key greenhouse gas and a product of the oxidation of carbon-based fuels, but it does not fit the definition of a hydrocarbon because it lacks hydrogen.
Understanding the distinction between hydrocarbons and their combustion products like CO₂ is fundamental in chemistry, especially when studying fuel combustion, environmental science, and organic reactions.
Hydrocarbons are commonly classified into four main types based on their bonding and structural characteristics:
- Alkanes (Saturated Hydrocarbons): These contain only single bonds (C-C) between carbon atoms. Alkanes are the simplest hydrocarbons, generally less reactive and stable, with the formula Cn H2n + 2 . Methane, ethane, and propane are examples.
- Alkenes (Unsaturated Hydrocarbons with Double Bonds): Contain at least one double bond (C=C) and have the general formula Cn H2n . Alkenes are more reactive due to their unsaturation and commonly undergo addition reactions. Ethene and propene are examples.
- Alkynes (Unsaturated Hydrocarbons with Triple Bonds): Characterized by one or more triple bonds (C≡C), with the formula Cn H2n−2 . Alkynes are even more reactive and used extensively in organic synthesis. Acetylene is a common alkyne.
- Aromatic Hydrocarbons: These contain one or more benzene rings, which are planar ring structures with delocalized pi electrons that provide extra stability (aromaticity). Benzene, toluene, and naphthalene are examples. Aromatic hydrocarbons have distinct chemical properties and applications.
Each type plays a distinct role in chemistry and industry, and understanding their differences is key for academic success and practical applications.
In the context of the oil and gas industry, hydrocarbons refer to the organic compounds that make up crude oil and natural gas, serving as primary sources of energy and raw materials for petrochemical industries. These hydrocarbons occur naturally underground in reservoirs and are extracted through drilling.
Crude oil primarily consists of a complex mixture of hydrocarbons ranging from light gases (methane, ethane) to heavy liquids (long-chain alkanes, cycloalkanes, and aromatic hydrocarbons). Natural gas is predominantly methane with some ethane, propane, and butane.
The oil and gas sector classifies hydrocarbons based on their physical state at room temperature:
- Gaseous hydrocarbons (natural gas)
- Liquid hydrocarbons (crude oil fractions like gasoline, kerosene, diesel)
- Solid hydrocarbons (like bitumen)
These hydrocarbons are processed in refineries to produce fuels, lubricants, and petrochemical feedstocks. Their properties, such as boiling point and molecular weight, determine the refining methods used (distillation, cracking).
Understanding hydrocarbons’ role in oil and gas is crucial for efficient extraction, refining, and usage, making it a critical topic for engineering students and professionals in energy fields.
Hydrocarbons are excellent fuels for combustion because of their high energy content and simple chemical composition. The energy stored in hydrocarbons arises mainly from the carbon-hydrogen (C-H) and carbon-carbon (C-C) bonds. When hydrocarbons burn in the presence of oxygen, these bonds break and new bonds form with oxygen atoms, releasing a large amount of heat energy.
The general combustion reaction of a hydrocarbon can be represented as:
Hydrocarbon + O2 → CO2 + H2O +Energy
During combustion, the carbon atoms are oxidized to carbon dioxide (CO₂), and hydrogen atoms are oxidized to water (H₂O). This oxidation process releases energy because the bonds formed in CO₂ and H₂O are more stable (lower energy) than those in the original hydrocarbon molecule.
Hydrocarbons with longer carbon chains contain more bonds, thus store more energy and release more heat upon combustion. This is why fuels like gasoline (mainly hydrocarbons with 5–12 carbon atoms) and diesel (with larger hydrocarbon molecules) are widely used for engines and heating.
Additionally, hydrocarbons are relatively easy to ignite and have varying volatility, which helps in controlling combustion rates. Their chemical stability at room temperature but readiness to combust upon ignition makes them ideal fuels for controlled energy release.
Yes, hydrocarbons are a fundamental topic in Class 12 Organic Chemistry and are critically important for both school examinations and competitive exams like IIT-JEE and NEET. The study of hydrocarbons lays the foundation for understanding more complex organic compounds and reactions.
In Class 12, hydrocarbons cover important concepts such as the classification of hydrocarbons into saturated and unsaturated types, their nomenclature, physical and chemical properties, and reactions like combustion, substitution, addition, and elimination. Additionally, aromatic hydrocarbons like benzene are introduced, which have unique properties and significance in organic chemistry.
The importance of hydrocarbons extends beyond academics. These compounds form the basis of petrochemicals, fuels, polymers, and many pharmaceuticals. A thorough understanding helps students grasp reaction mechanisms and the behavior of organic molecules under different conditions.
Moreover, questions based on hydrocarbons often test conceptual clarity, application of IUPAC naming, and problem-solving skills. Since this topic is frequently asked in competitive exams, mastering hydrocarbons is essential for scoring well and building a strong organic chemistry foundation.
Approaching hydrocarbons for IIT-JEE preparation requires a clear strategy combining conceptual clarity and problem-solving practice. Here's a step-by-step method to build strong fundamentals from scratch:
- Start with Basic Concepts: Understand the definition of hydrocarbons, types of hydrocarbons (alkanes, alkenes, alkynes, aromatic hydrocarbons), and the nature of carbon bonding (sp3, sp2, sp hybridization). Focus on molecular structure, isomerism (structural and geometric), and functional groups.
- Master Nomenclature and Formulas: Learn IUPAC naming rules for different hydrocarbons, including linear, branched, and cyclic forms. Be comfortable writing molecular, condensed, and skeletal formulas.
- Study Physical and Chemical Properties: Focus on physical properties (boiling point, melting point, solubility) and chemical reactions (combustion, substitution, addition, elimination). For example, understand how alkanes undergo substitution reactions while alkenes participate in addition reactions.
- Solve Reaction Mechanisms and Problems: Practice reaction mechanisms like free radical substitution (alkanes) and electrophilic addition (alkenes). Solve numerical problems involving molecular formula calculations, isomer counting, and reaction predictions.
- Refer to Class 11 and 12 NCERT Topics: IIT-JEE hydrocarbon questions typically cover concepts from NCERT textbooks. Supplement this with coaching material or reference books with solved problems and previous years’ JEE questions.
- Revise with Previous Years’ Questions and Mock Tests: Consistently revise topics and attempt mock tests focusing on organic chemistry, especially hydrocarbons, to enhance speed and accuracy.
By building knowledge gradually and practicing problems regularly, students can approach hydrocarbon-related questions confidently for IIT-JEE.
Hydrocarbons are fundamentally classified into two main types: saturated hydrocarbons andunsaturated hydrocarbons. Each type has unique structural features and chemical properties.
-
Saturated Hydrocarbons (Alkanes): These compounds contain only single covalent bonds between carbon atoms. The general formula is CnH2n+2 for straight-chain alkanes. Because all carbon atoms are saturated with hydrogen atoms, they are relatively chemically stable and less reactive. Common examples include methane (CH4), ethane (C2H6), and propane (C3H8). Alkanes are mainly used as fuels and lubricants. Their combustion produces carbon dioxide and water, releasing significant energy.
-
Unsaturated Hydrocarbons: These hydrocarbons contain one or more double or triple bonds between carbon atoms, which means they have fewer hydrogen atoms compared to saturated hydrocarbons of the same carbon number. This group includes:
-
Alkenes: Contain at least one carbon-carbon double bond (C=C). Their general formula is CnH2n. Alkenes are more reactive than alkanes due to the presence of double bonds, which serve as sites for chemical reactions like addition. Ethene (ethylene) is a key example used industrially for making plastics.
-
Alkynes: Contain one or more carbon-carbon triple bonds (C≡C). Their general formula is CnH2n−2. Alkynes are even more reactive than alkenes, used in organic synthesis.
-
These two types differ in their physical and chemical properties due to bond saturation. Saturated hydrocarbons have higher stability and are less reactive, while unsaturated hydrocarbons are chemically active and participate readily in addition and polymerization reactions.
Hydrocarbons are organic compounds composed entirely of carbon (C) and hydrogen (H) atoms. They form the fundamental building blocks of organic chemistry and serve as the primary constituents of fossil fuels like crude oil, natural gas, coal, and petroleum products. The carbon atoms in hydrocarbons form the backbone of the molecule, and hydrogen atoms attach to carbon, satisfying valency requirements.
Hydrocarbons are classified based on the type of bonds between carbon atoms and their structural arrangements. They can be broadly divided into two major categories: saturated hydrocarbons and unsaturated hydrocarbons. Saturated hydrocarbons, also called alkanes, have only single bonds between carbon atoms, making them relatively stable and less reactive. Unsaturated hydrocarbons contain one or more double or triple bonds (alkenes and alkynes respectively), leading to higher reactivity and varied chemical behavior.
Hydrocarbons are central to numerous industrial applications. They are fuels (like gasoline and diesel), raw materials for plastics, solvents, and lubricants. Understanding hydrocarbons is essential in fields such as petrochemicals, environmental science, and energy industries. Their properties—flammability, volatility, and chemical reactivity depend on molecular size and structure, which also influence their behavior in combustion and synthetic reactions.